
线路:本文连续上一篇:XAFS数据惩处生人教程-Artemis,Artemis关于样品的拟合需要更多的尝试,上文呈文关于圭臬样品拟合获取振幅衰减因子S02=0.87,当咱们获取振幅衰减因子后,可以赓续下一步对样品进行拟合从而详情样品的隔壁原子数目。
本次数据为一个亚氧化态的Cu团簇在其他载体上,关于样品的隔壁原子可能有多种,咱们会最初对3Å以内的隔壁原子进行尝试拟合。
银河国际游戏平台官网数据导入

模子导入





导入模子文献,设定中心原子,估量打算获取圭臬旅途,对圭臬旅途进行一个预览。
旅途遴荐

通过预览不祥阐发拟合需要的path:O16.1&Cu2.1




严防事项:在Data窗口中,N是无法用英文来定名的,只可输入数值固定,是以我将N设立为1况兼将N耦合在其下方S02的位置,188金宝博即0.87*N1(转头公式中S02与N是耦合在一谈的),其中0.87为圭臬样品获取的S02,N1是对配位数的guess,是以在之后的拟合效果中S02也曾被固定为0.87,咱们拟合的S02会被N替代,即获取的S02效果骨子为N,B体育官方网站首页好吧我承认斡旋起来极端别扭,很容易被绕进去,别急你先往下看,一会再复返来斡旋。
拟合



好的第一次拟合后咱们可以看到,举座还可以线路宗旨可行,但存在极年少特殊是可用数据过少导致的,那么咱们接下来安妥拓宽一下拟合数据界限。
退换拟合过程


请严防窗口界限变动,然后再次进行fit,并读取拟合数据。


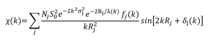
好的再让咱们记忆一下Artemis拟合基本历程、各参数代表的好奇羡慕好奇羡慕及条目界限:

S02:振幅衰减因子,典型值0.7~1.05 (严防这次拟合数据中的S02为固定值)
σ2:无序度因子,一般界限0.003-0.02
ΔE:能量位移,≤±10eV
ΔR:半径偏差,≤±0.1Å
Reff:圭臬半径
R:拟合半径,Reff+ΔR
至此,Artemis对样品数据拟合可以输出效果了BSports,通过固定S02,获取了最隔壁Cu-O与次隔壁Cu-Cu配位数,对此数值解读一定要结伴我方样品的骨子物理好奇羡慕好奇羡慕。

备案号: